双極子モーメントと分極率から比誘電率を求める有名な式である「Debyeの式」は液体溶媒には使用できません。
液体溶媒には分子間力を考慮した「Onsagerの式」を使う必要があり、比較的シンプルな式なので使い勝手が良い理論です。
このページでは、溶液に対しても比誘電率と双極子モーメント、分極率の間に成り立つ式である「Onsagerの式」の詳細な証明を含めてご紹介します。

Onsagerの式で液体物性の予想精度を向上できる
誘電体で基本となる理論的な式:誘電飽和式(溶媒の誘電率を分子論的に評価する式)として、「Debyeの式」があり、比誘電率$\epsilon_r$と双極子モーメント$\mu$、屈折率$n$を$\frac{\rho{N_A}}{M}\frac{\mu^2}{9k_BT}=\frac{3\epsilon_0(\epsilon_r-n^2)}{(\epsilon_r+2)(n^2+2)}$によって紐づけることができます。
しかし、Debyeの式は分子間相互作用を無視しているため、基本的に低圧気体でしか成り立たないという欠点があります。
一方、Onsagerの式は液体に対しても成り立つ理論式で、$\frac{\rho{N_A}}{M}\frac{\mu^2}{9k_BT}=\frac{\epsilon_0}{(n^2+2)^2}\Bigl(2\epsilon_r-n^2-\frac{n^4}{\epsilon_r}\Bigl)$によって比誘電率$\epsilon_r$と双極子モーメント$\mu$、屈折率$n$を紐づけます。(ただし、会合状態を形成する水やアルコールなどのプロトン性溶媒には使用できません)
| Debyeの式 | Onsagerの式 | |
|---|---|---|
| 式 | $\frac{\rho{N_A}}{M}\frac{\mu^2}{9k_BT}=\frac{3\epsilon_0(\epsilon_r-n^2)}{(\epsilon_r+2)(n^2+2)}$ | $\frac{\rho{N_A}}{M}\frac{\mu^2}{9k_BT}=\frac{\epsilon_0}{(n^2+2)^2}\Bigl(2\epsilon_r-n^2-\frac{n^4}{\epsilon_r}\Bigl)$ |
| 適用対象 | 気体 | 極性溶媒(水などのプロトン性溶媒を除く) |
実際、屈折率$n$などの測定値を使って、溶液分子の双極子モーメント$\mu$をDebyeとOnsagerの2つの式で予測した場合、Onsager式はDebye式よりも理論式からの予想値が理論値と良い整合を示しています。

グラフ作成に使用したデータはこちら
| 溶媒 | 比誘電率$\epsilon_r$ | 屈折率$n$ | 密度$\rho$ ($\text{kg}/\text{m}^3$) | 双極子モーメント $\mu$($\text{D}$) |
|---|---|---|---|---|
| クロロベンゼン | 5.6 | 1.52 | 1110 | 1.57 |
| $\text{CH}_2\text{Cl}_2$ | 9.1 | 1.44 | 1325 | 1.60 |
| THF | 7.5 | 1.41 | 886 | 1.75 |
| アセトン | 21 | 1.36 | 786 | 1.63 |
| ニトロメタン | 36 | 1.38 | 1137 | 3.56 |
Debye式とOnsager式の違い
なぜDebye式とOnsager式は形が異なるのでしょうか?
その理由は、分子が感じる内部電場$\boldsymbol{F}$を得る手続きが全く異なるためです。
| Debyeの式 | Onsagerの式 | |
|---|---|---|
| 内部電場$\boldsymbol{F}$ | $\boldsymbol{F}=\boldsymbol{E}+\frac{1}{3}\boldsymbol{P}$ | $\boldsymbol{F}=\frac{3\epsilon_r}{2\epsilon_r+1}\boldsymbol{E}$$+\frac{2(\epsilon_r-1)}{2\epsilon_r+1}\frac{\boldsymbol{m}}{4\pi\epsilon_0a^3}$ |
| 内部電場を得る手続き | 分子間の相互作用を考慮しない | 分子自身と遠方分子(空洞外)との相互作用を考慮する |
| その他の仮定 | 空洞には1つの分子だけがあるとする |
Debyeの式では、内部電場$\boldsymbol{F}$に球体自身の分極による電場を考慮しない電場(ローレンツ電場)を採用しているため、液体などの分子間相互作用が重要になる場合、正しい誘電率を与えることができません。
一方、Onsagerの式では、空隙内の分子自身と空洞外にある双極子の間に働く相互作用を取り込んでいるため、極性溶媒に対しても正しい誘電率を予想することができます。

また、Onsagerの式は内部電場$\boldsymbol{F}$の取り方がDebyeの式と異なるだけで、それ以降は同じ方針で導くことができます。(ただし、Debyeの式よりも式変形は複雑です。。。)
Onsagerの式導出はこちら

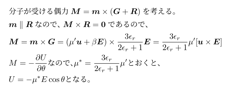
補足1

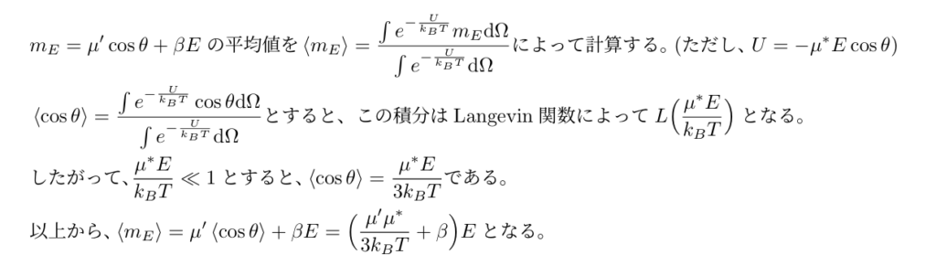
補足2

補足3

補足4

補足5

まとめ
このページでは、溶液に対しても比誘電率と双極子モーメント、分極率の間に成り立つ式である「Onsagerの式」をご紹介しました。
Onsagerの式は水やアルコールなど、会合状態が強く影響するプロトン性溶媒には成り立ちませんが、比較的シンプルな式なので使い勝手が良い理論です。
量子化学計算などで双極子モーメントと分極率を計算できればOnsagerの式によって誘電率を求めることができるので、皆さんも試してみてください。

